2022-06-07
北京大学地球与空间科学学院理论与应用地球物理研究所宋晓东教授团队在研究从接收函数中获取地壳厚度H和纵横波速比κ方面取得新的进展,提出了基于深度学习的HkNet。H和κ可以反映地壳结构和物质组成,能为区域构造学和地球动力学提供重要参数。这一结果有望被广泛用于实际地球不同区域的地壳结构。
接收函数是台站下方地球结构对远震波形的响应,主要包含了转换波及其多次波震相,利用传统的H-κ叠加或改进的H-κ叠加法从接收函数中获取上述两个重要参数的方法得到了广泛应用。但是传统的方法有一定的限制, 如一些先验假设,制约了实际应用中的效果和准确度。深度学习已被广泛应用于地震学领域,但是迄今为止,在大尺度结构反演的应用仍比较有限。宋晓东课题组考虑实际接收函数数据的特点,利用深度学习提取速度结构与接收函数的内在映射关系,通过DenoiseNet对噪声进行压制和方位信息的补全,然后通过HkNet对地壳厚度和波速比进行预测。系统的合成数据测试,证明了相对于传统方法,该算法适应性强、准确率高,在复杂的地质环境下也具有稳定性。对实际观测数据的应用表明了其泛化能力强,计算效率高,适用于不同的地质环境和结构。

图1 算法流程


图2 网络结构 (a)去噪补全网络;(b)Hk预测网络

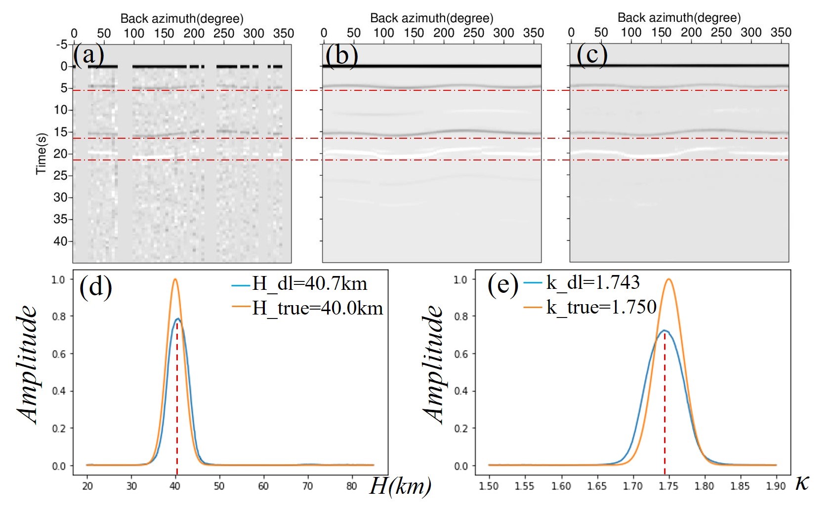
图3 合成数据结果
(a) 依实际情况模拟的数据; (b) 重建的去噪后的数据;(c) 原始合成数据;
(d) H预测与准确值对比;(e) κ预测与准确值对比。
该成果近期已在Journal of Geophysical Research: Solid Earth发表,相关数据及程序已公开。王非翊博士生为第一作者,宋晓东教授为通讯作者。该研究受到中国地震局地球物理研究所基本科研业务费专项和国家自然科学基金联合基金项目资助。
文章发表在:Wang, F., Song, X., & Li, J. (2022). Deep learning-based H-κ method (HkNet) for estimating crustal thickness and Vp/Vs ratio from receiver functions. J. Geophys. Res. https://doi.org/10.1029/2022JB023944.